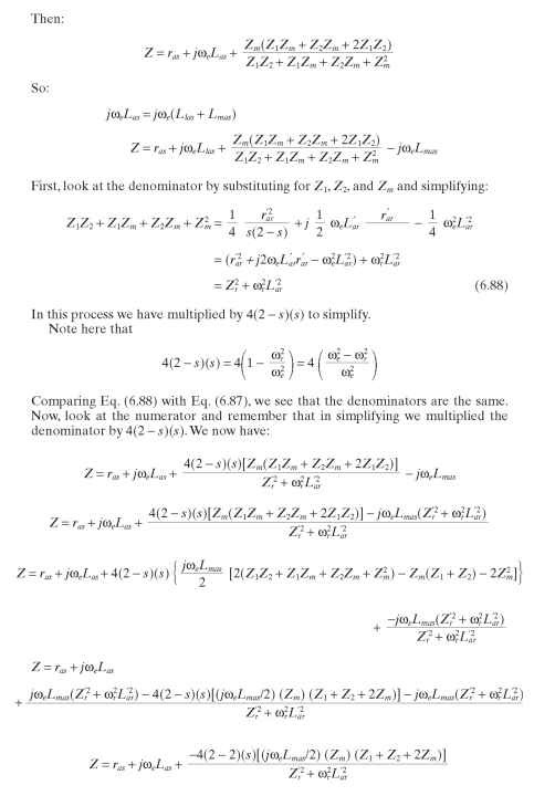
[tmpB34_thumb3.jpg]