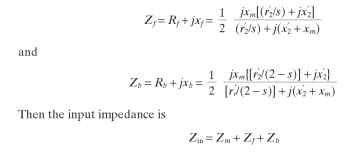
[tmpB38_thumb3.jpg]