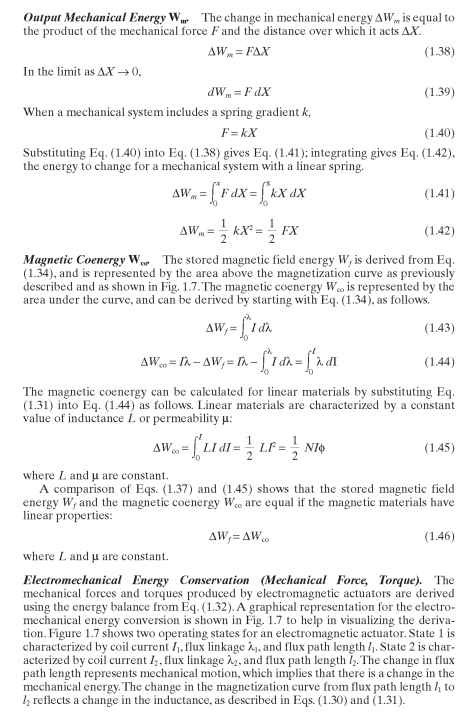
[tmp54051_thumb_thumb3.jpg]