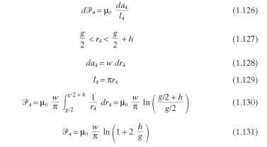
[tmp54085_thumb_thumb3.jpg]