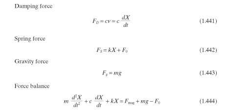
[tmp54F163_thumb3.jpg]